• Предмет: Алгебра
  • Автор: плавчиха
  • Вопрос задан 9 лет назад

Помогите пожалуйста. Очень надо. С подробным решением 
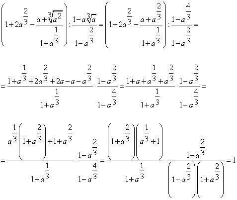
(1+2 a^{ frac{2}{3}} -  frac{a+ sqrt[3]{a^{2} } }{1+a^{ frac{1}{3} } } ):  frac{1-a sqrt[3]{a} }{1-a ^{ frac{2}{3}  }}

Ответы

Ответ дал: Аноним
0
Решение подробное смотрите на фото
Приложения:
Ответ дал: плавчиха
0
огромное спасибо
Вас заинтересует