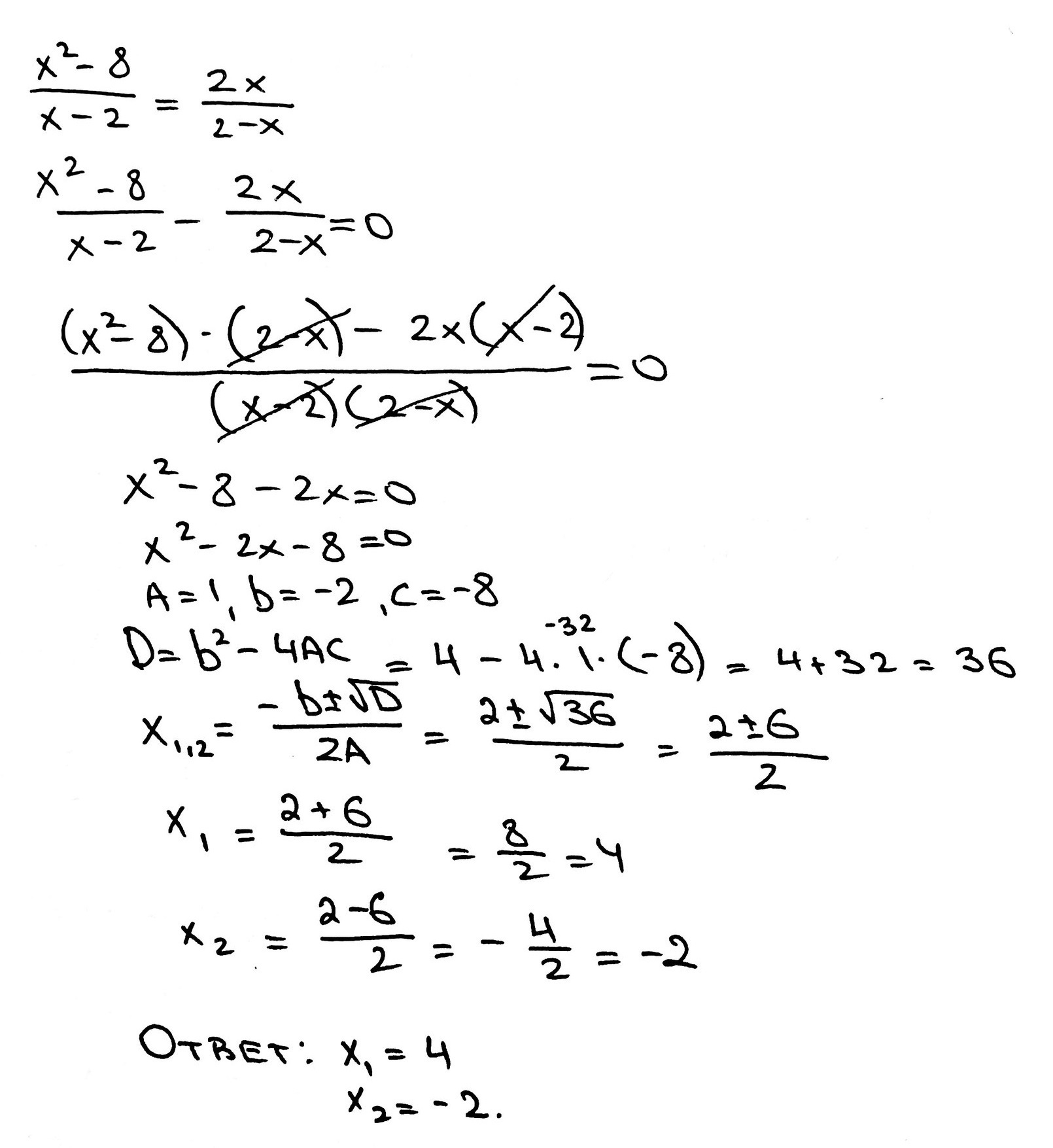
Товарищи, не проходите мимо! Помогите недоумку решить одно затейливое уравнение, буду очень признателен!
Приложения:

Ответы
Ответ дал:
0
я не знаю, что написать ыыыыыыыыыыыыыы. (20 символов набралось?)
Приложения:

Ответ дал:
0
премного благодарен:)
Вас заинтересует
2 года назад
2 года назад
7 лет назад
7 лет назад
9 лет назад
10 лет назад