Вычислить приближенно с помощью полного дифференциала
с точностью до 10^(-2):
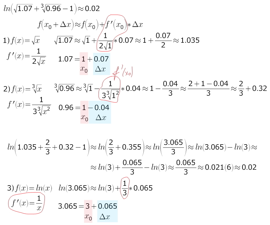
ln((1,07)^(1/2)+(0,96)^(1/3)-1)
Ответы
Ответ дал:
0
отдельно вычислить значения квадратного корня, кубического корня и потом уже логарифм)))
Приложения:

Вас заинтересует
2 года назад
7 лет назад
7 лет назад
9 лет назад
9 лет назад
10 лет назад
10 лет назад