Ответы
Ответ дал:
0
10
sin(4x+π/3)-sin(π/2-3x-π/4)=0
sin(4x+π/3)-sin(π/4-3x)=0
2sin[(4x+π/3-π/4+3x)/2]*cos[(4x+π/3+π/4-3x)/2]=0
2sin(7x/2+π/24)cos(x/2+7π/24)=0
sin(7x/2+π/24)=0
7x/2+π/24=πk
7x/2=-π/24+πk
x=-π/84+2πk/7,k∈z
cos(x/2+7π/24)=0
x/2+7π/24=πk
x/2=-7π/24+πk
x=-7π/6+2πk,k∈z
11
3sin²3x+5cos²3x-2sin²3x-2cos²3x-4sin3xcos3x=0
sin²3x-4sin3xcos3x+3cos²3x=0/cos²3x
tg²3x-4tg3x+3=0
tg3x=a
a²-4a+3=0
a1+a2=4 U a1*a2=3
a1=1⇒tgx=1⇒3x=π/4+πk⇒x=π/12+πk/3,k∈x
a2=3⇒tg3x=3⇒3x=arctg3+πk⇒x=1/3*arctg3+πk/3,k∈z
sin(4x+π/3)-sin(π/2-3x-π/4)=0
sin(4x+π/3)-sin(π/4-3x)=0
2sin[(4x+π/3-π/4+3x)/2]*cos[(4x+π/3+π/4-3x)/2]=0
2sin(7x/2+π/24)cos(x/2+7π/24)=0
sin(7x/2+π/24)=0
7x/2+π/24=πk
7x/2=-π/24+πk
x=-π/84+2πk/7,k∈z
cos(x/2+7π/24)=0
x/2+7π/24=πk
x/2=-7π/24+πk
x=-7π/6+2πk,k∈z
11
3sin²3x+5cos²3x-2sin²3x-2cos²3x-4sin3xcos3x=0
sin²3x-4sin3xcos3x+3cos²3x=0/cos²3x
tg²3x-4tg3x+3=0
tg3x=a
a²-4a+3=0
a1+a2=4 U a1*a2=3
a1=1⇒tgx=1⇒3x=π/4+πk⇒x=π/12+πk/3,k∈x
a2=3⇒tg3x=3⇒3x=arctg3+πk⇒x=1/3*arctg3+πk/3,k∈z
Ответ дал:
0
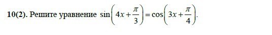
sin(4x+π/3)=cos(3x+π/4)
cos(3x+π/4)=sin(π/2-(3x+π/4))=sin(-3x+π/4)
необходимое и достаточное условие равенства двух синусов
выполнение одного из условий
1. 4x+π/3-3x+π/4 = (2n+1)π x=-7π/12+(2n+1)π n∈Z
2. 4x+π/3+3x-π/4=2πn 7x=-π/12+2πn x=-π/84+2πn/7 x∈Z
3sin²3x+5cos²3x=2(1+sin6x)
3+2cos²3x=2+2sin6x
используем формулу cos6x=2cos²3x-1
3+соs6x+1=2+2sin6x
2+cos6x=2sin6x
y=tg3x sin6x=2y/y²+1 cos6x=1-y²/1+y²
после подстановки и преобразований (y²-4y+3)/(y²+1)=0 y=3 y=1
tg3x=3 x=1/3*arctg3+πn/3 n∈Z
tg3x=1 x=π/12+πn/3 n∈Z
cos(3x+π/4)=sin(π/2-(3x+π/4))=sin(-3x+π/4)
необходимое и достаточное условие равенства двух синусов
выполнение одного из условий
1. 4x+π/3-3x+π/4 = (2n+1)π x=-7π/12+(2n+1)π n∈Z
2. 4x+π/3+3x-π/4=2πn 7x=-π/12+2πn x=-π/84+2πn/7 x∈Z
3sin²3x+5cos²3x=2(1+sin6x)
3+2cos²3x=2+2sin6x
используем формулу cos6x=2cos²3x-1
3+соs6x+1=2+2sin6x
2+cos6x=2sin6x
y=tg3x sin6x=2y/y²+1 cos6x=1-y²/1+y²
после подстановки и преобразований (y²-4y+3)/(y²+1)=0 y=3 y=1
tg3x=3 x=1/3*arctg3+πn/3 n∈Z
tg3x=1 x=π/12+πn/3 n∈Z
Вас заинтересует
7 лет назад
7 лет назад
9 лет назад
9 лет назад
10 лет назад