Ответы
Ответ дал:
0
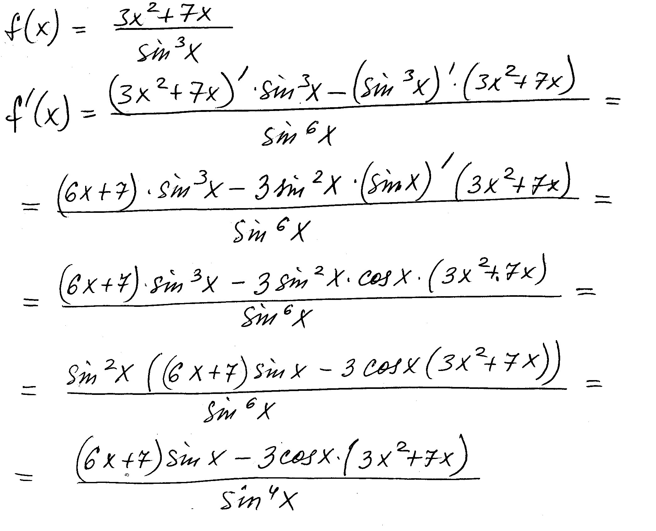
решение во вложенном файле
Приложения:

Ответ дал:
0
можно ещё в конце в числителе во 2 слагаемом вынести х за скобки, но от этого ничего не изменится.
Ответ дал:
0
Спасибо большое!
Вас заинтересует
2 года назад
7 лет назад
9 лет назад
9 лет назад
10 лет назад