• Предмет: Математика
  • Автор: gipnofrog
  • Вопрос задан 9 лет назад

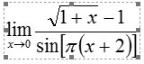
Решить с помощью первого и второго замечательного предела.

Приложения:

Ответа на этот вопрос пока нет. Попробуйте найти его через форму поиска.

Вас заинтересует