• Предмет: Математика
  • Автор: Аноним
  • Вопрос задан 9 лет назад

помогите пожалуйста с алгеброй

Приложения:

Ответы

Ответ дал: zaya33
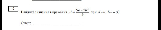
0
= frac{b*2b+5a-2b^{2}}{b} = frac{5a}{b} = frac{5*6}{-60}=- frac{1}{2}
Вас заинтересует