Ответы
Ответ дал:
0
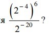
2^-4=1/2^4
(1/2^4)^6= 1/2^24
2^-20=1/2^20
1/2^24:1/2^20=(1/2^24)*(2^20)= 1/2^4=1/16
(1/2^4)^6= 1/2^24
2^-20=1/2^20
1/2^24:1/2^20=(1/2^24)*(2^20)= 1/2^4=1/16
Вас заинтересует
2 года назад
2 года назад
7 лет назад
7 лет назад
10 лет назад