Ответы
Ответ дал:
0
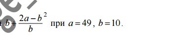
общий знаменатель b
получается:
b(2)+2a-b(2)
-------------------
b
b(2) сокрашаются остается:
2a
-----
b
потом подставляем данные значения и получается 9,8
получается:
b(2)+2a-b(2)
-------------------
b
b(2) сокрашаются остается:
2a
-----
b
потом подставляем данные значения и получается 9,8
Вас заинтересует
2 года назад
7 лет назад
7 лет назад
10 лет назад
10 лет назад
10 лет назад