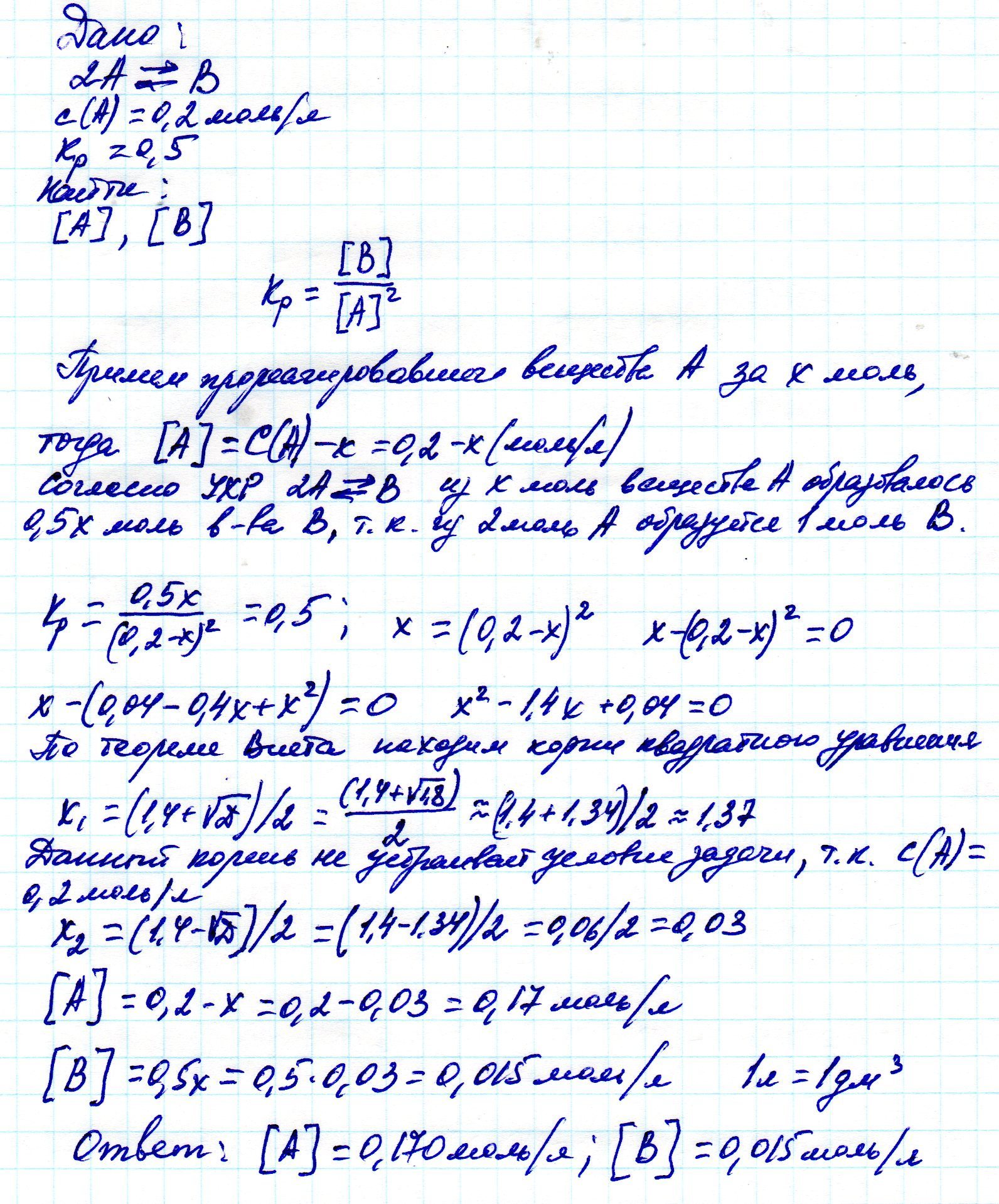
Реакция протекает по уравнению 2А ↔ В. Начальная концентрация вещества А равна 0,2 моль/дм3. Константа равновесия реакции равна 0,5. Определите равновесные концентрации веществ А и В.
Ответ: 0,170 моль/дм3; 0,015 моль/дм3
Ответы
Ответ дал:
0
.....................................................................
Приложения:

Вас заинтересует
2 года назад
2 года назад
7 лет назад
9 лет назад
10 лет назад