• Предмет: Алгебра
  • Автор: showracemenu
  • Вопрос задан 9 лет назад

Помогите с решением пожалуйста срочно!

Приложения:

Ответы

Ответ дал: MrsVaderr
0
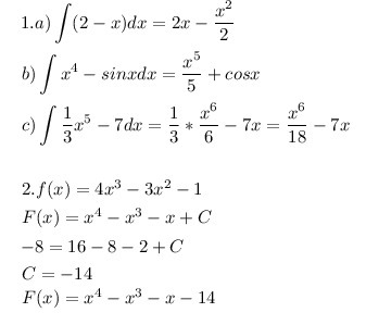
displaystyle 1. a) int(2-x)dx=2x- frac{x^2}{2}
displaystyle b) int x^4-sinxdx= frac{x^5}{5}+cosx
displaystyle c) int  frac{1}{3}x^5-7dx= frac{1}{3}* frac{x^6}{6}-7x= frac{x^6}{18}-7x

2. f(x)=4x^3-3x^2-1
F(x)=x^4-x^3-x+C
-8=16-8-2+C
C=-14
F(x)=x^4-x^3-x-14
Приложения:
Вас заинтересует