Срочно прошу помогите.
Определить максимальную полезную мощность аккумулятора с ЭДС=10 В и внутренним сопротивлением 1 Ом. Каково при этом сопротивление внешней цепи?
Ответы
Ответ дал:
0
Смотри во вложении.
Приложения:

Ответ дал:
0
смотри решение во вложении
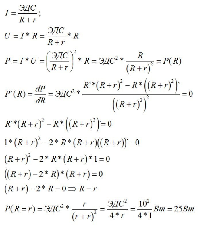
максимальная полезная мощность - мощность выделяемая на внешнем сопротивлении, достигается при R = r - когда внешнее сопротивление равно внутреннему сопротивлению источника.
чтобы найти эту величину нужно найти зависимость мощности от сопротивления, потом найти производную по сопротивлению, приравнять производную нулю и из получившегося уравнения найти сопротивление R
максимальная полезная мощность - мощность выделяемая на внешнем сопротивлении, достигается при R = r - когда внешнее сопротивление равно внутреннему сопротивлению источника.
чтобы найти эту величину нужно найти зависимость мощности от сопротивления, потом найти производную по сопротивлению, приравнять производную нулю и из получившегося уравнения найти сопротивление R
Приложения:


Вас заинтересует
2 года назад
7 лет назад
7 лет назад
9 лет назад
9 лет назад
10 лет назад
10 лет назад