Ответы
Ответ дал:
0
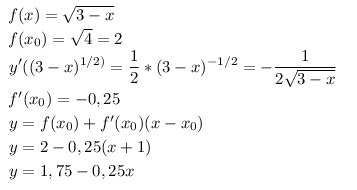
Приложения:

Ответ дал:
0
огромное спасибо
Вас заинтересует
2 года назад
2 года назад
7 лет назад
7 лет назад
9 лет назад
9 лет назад
10 лет назад