из восьми равных правильных треугольников составили четырехугольник. Вычислите площадь этого четырехугольника,если его периметр равен 16 см
Ответы
Ответ дал:
0
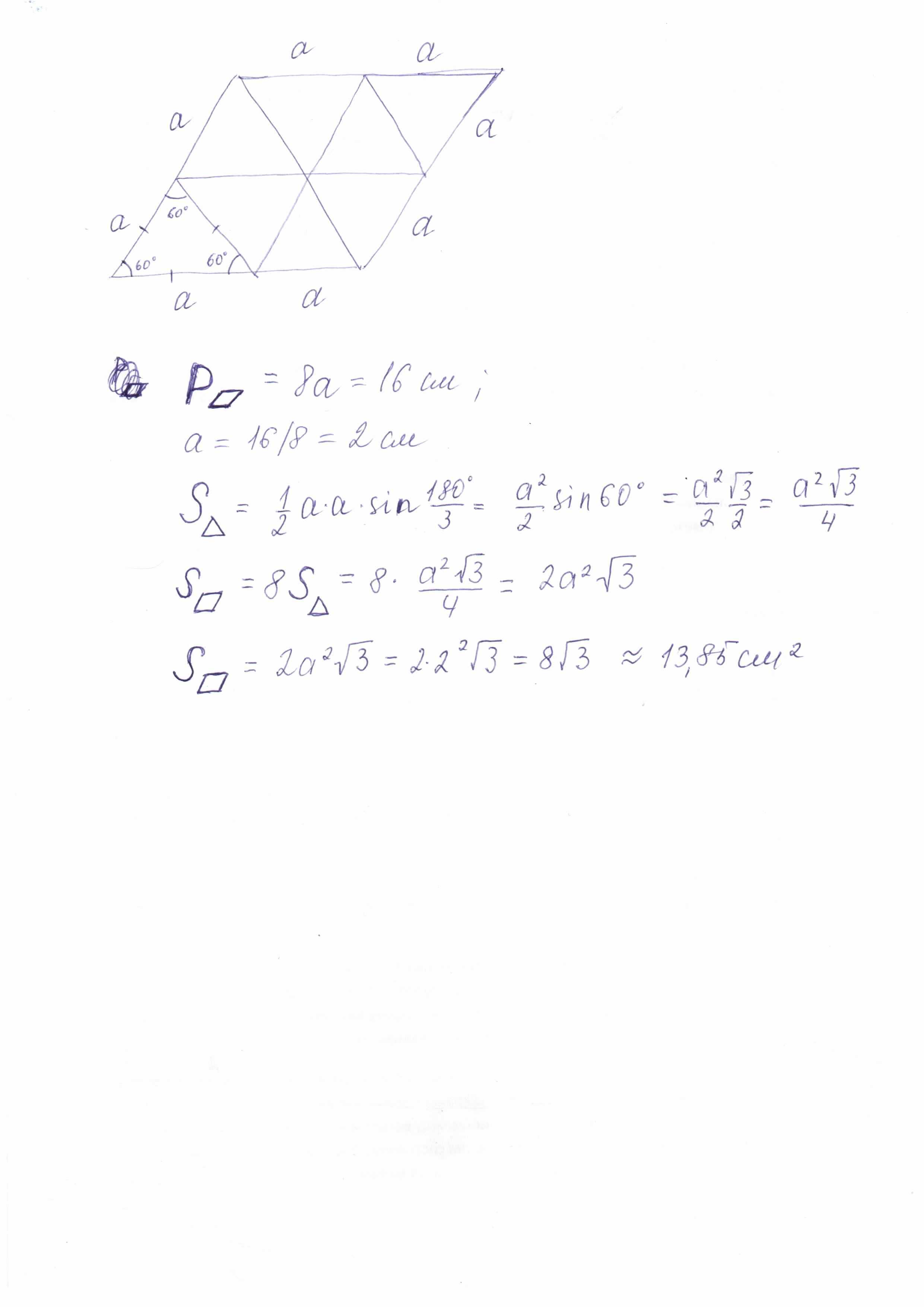
В файле скана - чертеж и краткое решение
Из 8 равных равносторонних (правильных) треугольников можно составить параллелограмм со всеми равными сторонами (он же ромб). Если сторона правильного треугольника равна а, то периметр четырехугольника Р равен 4*2*а = 8а.
По условию задачи Р = 8а = 16, отсюда а = 2 см
Площадь четырехугольника равна восьми площадям треугольников:
Sч = 8Sт
Поскольку треугольники правильные, все их углы равны 180°/3=60°
Площадь треугольника равна:
Sт = 0,5*а*а*sin(60°) = 0,5а²(√3/2) = (а²√3)/4
Sч = 8 Sт = 8*(а²√3)/4 = 2а²√3
Подставляем а=2:
Sч = 2а²√3 = 2*2²√3 = 8√3 ≈ 13,85 см²
Из 8 равных равносторонних (правильных) треугольников можно составить параллелограмм со всеми равными сторонами (он же ромб). Если сторона правильного треугольника равна а, то периметр четырехугольника Р равен 4*2*а = 8а.
По условию задачи Р = 8а = 16, отсюда а = 2 см
Площадь четырехугольника равна восьми площадям треугольников:
Sч = 8Sт
Поскольку треугольники правильные, все их углы равны 180°/3=60°
Площадь треугольника равна:
Sт = 0,5*а*а*sin(60°) = 0,5а²(√3/2) = (а²√3)/4
Sч = 8 Sт = 8*(а²√3)/4 = 2а²√3
Подставляем а=2:
Sч = 2а²√3 = 2*2²√3 = 8√3 ≈ 13,85 см²
Приложения:

Вас заинтересует
2 года назад
2 года назад
7 лет назад
7 лет назад
9 лет назад
9 лет назад
10 лет назад
10 лет назад