Ответы
Ответ дал:
0
{х² + у= 5 |*(-6)
{6х² -у= 2 |*1
Решим систему уравнений методом сложения:
1){-6х² -6у+ 6х² -у= -30+ 2
{6х² -у = 2
{-7у= -28
{6х² - у= 2
2)-7у=- 28
у= 4
6х² - у= 2
6х² -4= 2
6х²= 6
х²= 1
х= ±1
{6х² -у= 2 |*1
Решим систему уравнений методом сложения:
1){-6х² -6у+ 6х² -у= -30+ 2
{6х² -у = 2
{-7у= -28
{6х² - у= 2
2)-7у=- 28
у= 4
6х² - у= 2
6х² -4= 2
6х²= 6
х²= 1
х= ±1
Ответ дал:
0
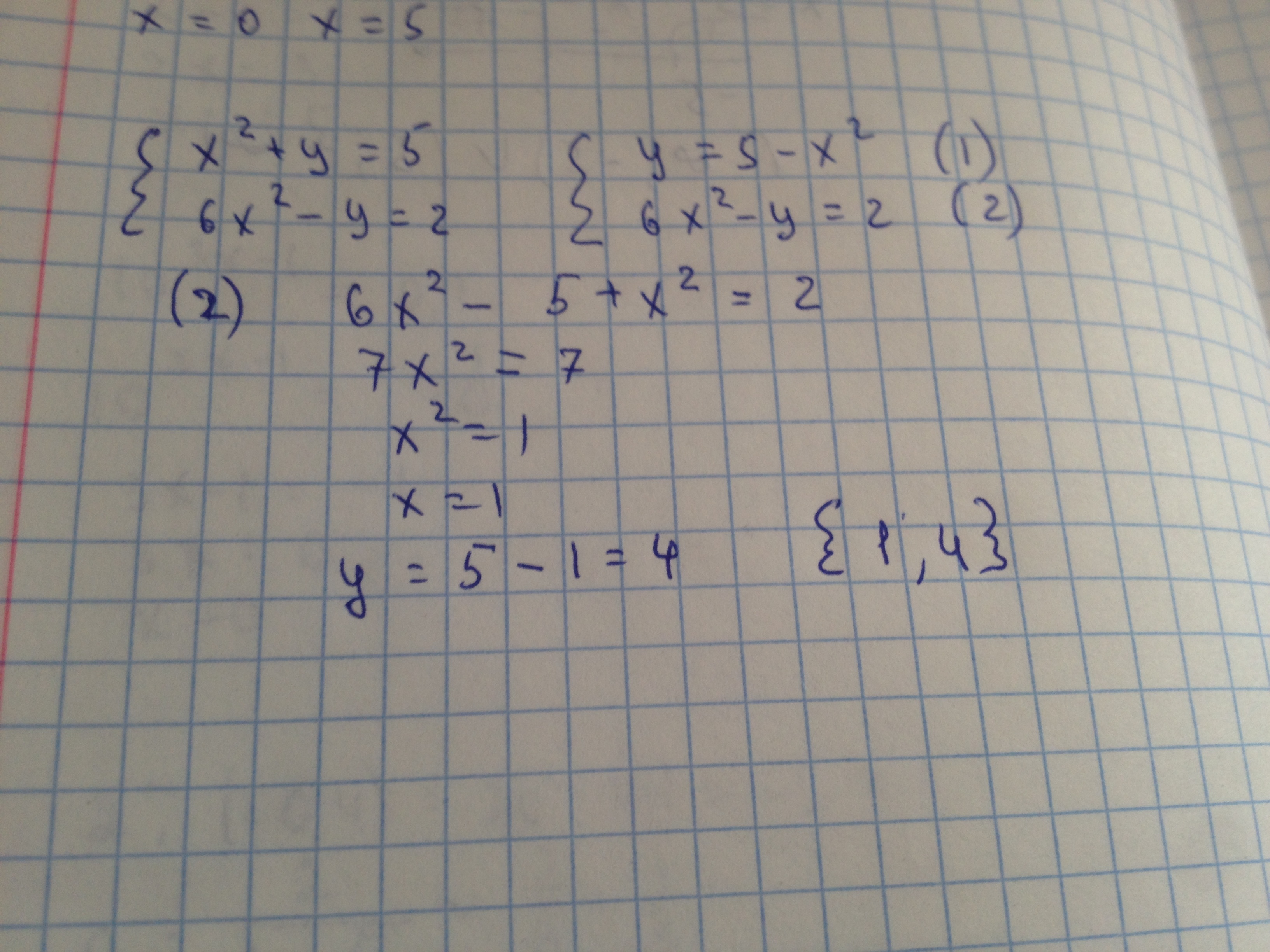
Решение смотрите ниже
Приложения:
Вас заинтересует
2 года назад
2 года назад
7 лет назад
9 лет назад
9 лет назад
10 лет назад
10 лет назад