• Предмет: Геометрия
  • Автор: elenaelena727
  • Вопрос задан 11 лет назад

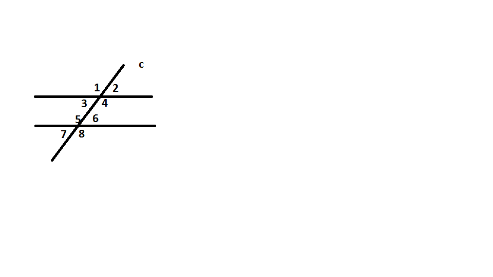
Угол 3 на 40 градусов меньше чем угол 4. Найти все углы.

Приложения:

Ответы

Ответ дал: stasikooo
0
а что за фигура в условии??
Вас заинтересует