Ответы
Ответ дал:
0
1,10-а
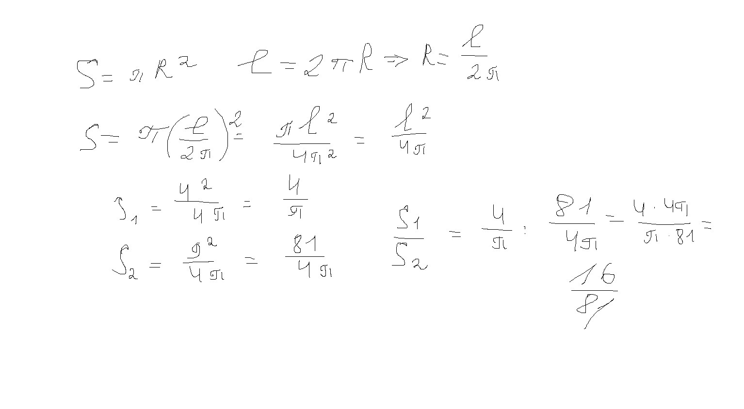
2, ответ В- 16:81, а решение в приложенном файле
3 правильный ответ Б- А6А7
пройди по ссылке, там решение третьего задания: https://znanija.com/task/5933708
2, ответ В- 16:81, а решение в приложенном файле
3 правильный ответ Б- А6А7
пройди по ссылке, там решение третьего задания: https://znanija.com/task/5933708
Приложения:

Вас заинтересует
2 года назад
7 лет назад
9 лет назад
9 лет назад
10 лет назад