• Предмет: Алгебра
  • Автор: ZaraStilinski24
  • Вопрос задан 9 лет назад

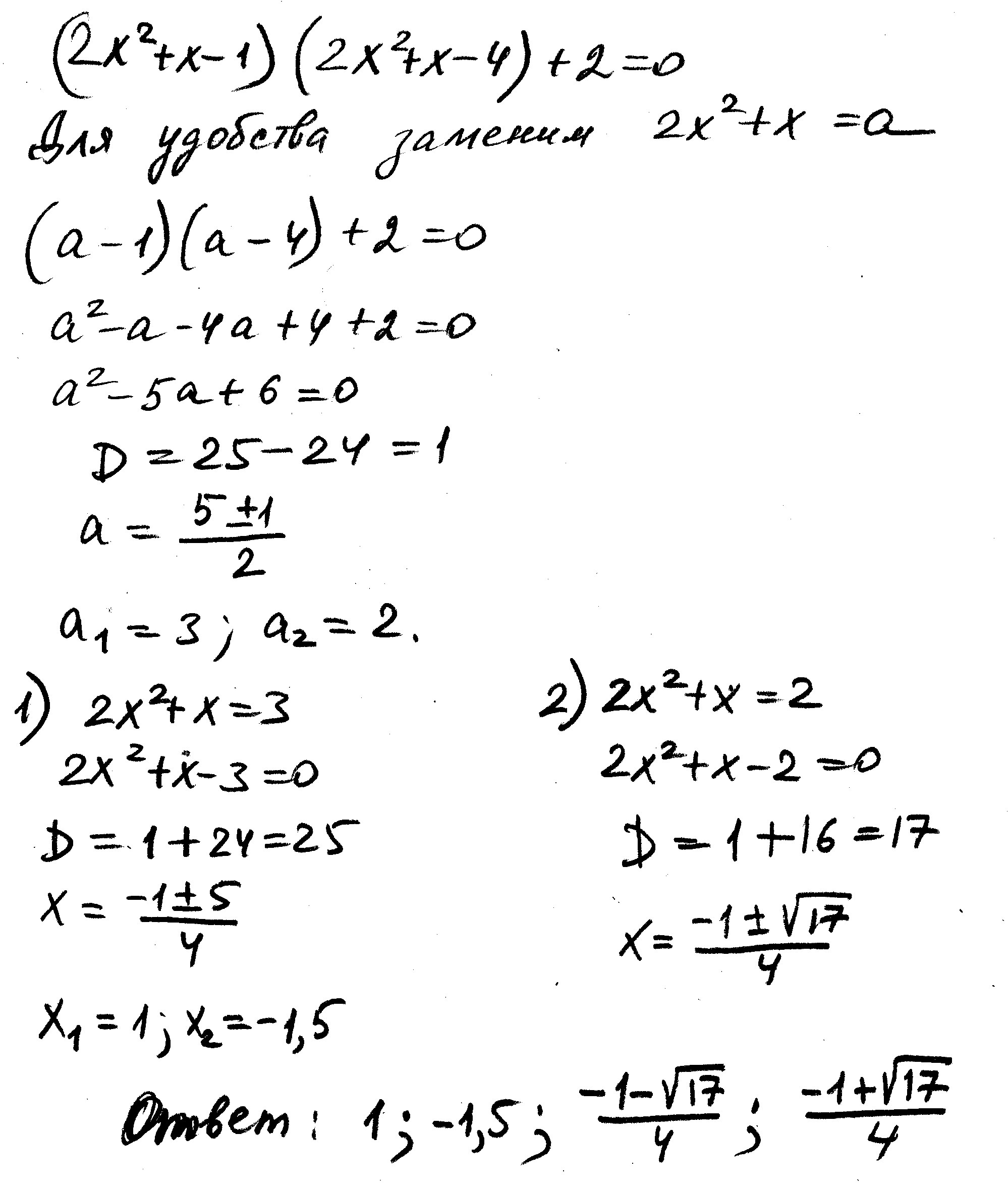
решить уравнение (2х2+х-1)(2х2+х-4)+2=0

Ответы

Ответ дал: samodina
0
решение во вложенном файле
Приложения:
Вас заинтересует