• Предмет: Геометрия
  • Автор: akavir2
  • Вопрос задан 9 лет назад

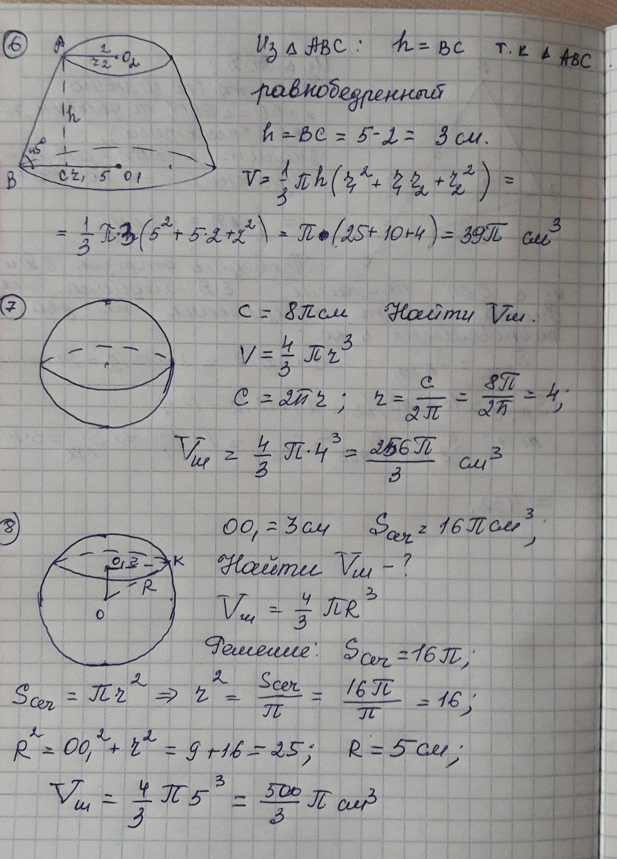
Прошу пожалуйста помогите с заданиями по геометрии срочно! Нужно решение и рисунок. 20б

Приложения:

Ответы

Ответ дал: elviradar
0
Прошу пожалуйста помогите с заданиями по геометрии срочно! Нужно решение и рисунок. 20б
Приложения:
Вас заинтересует