Ответы
Ответ дал:
0
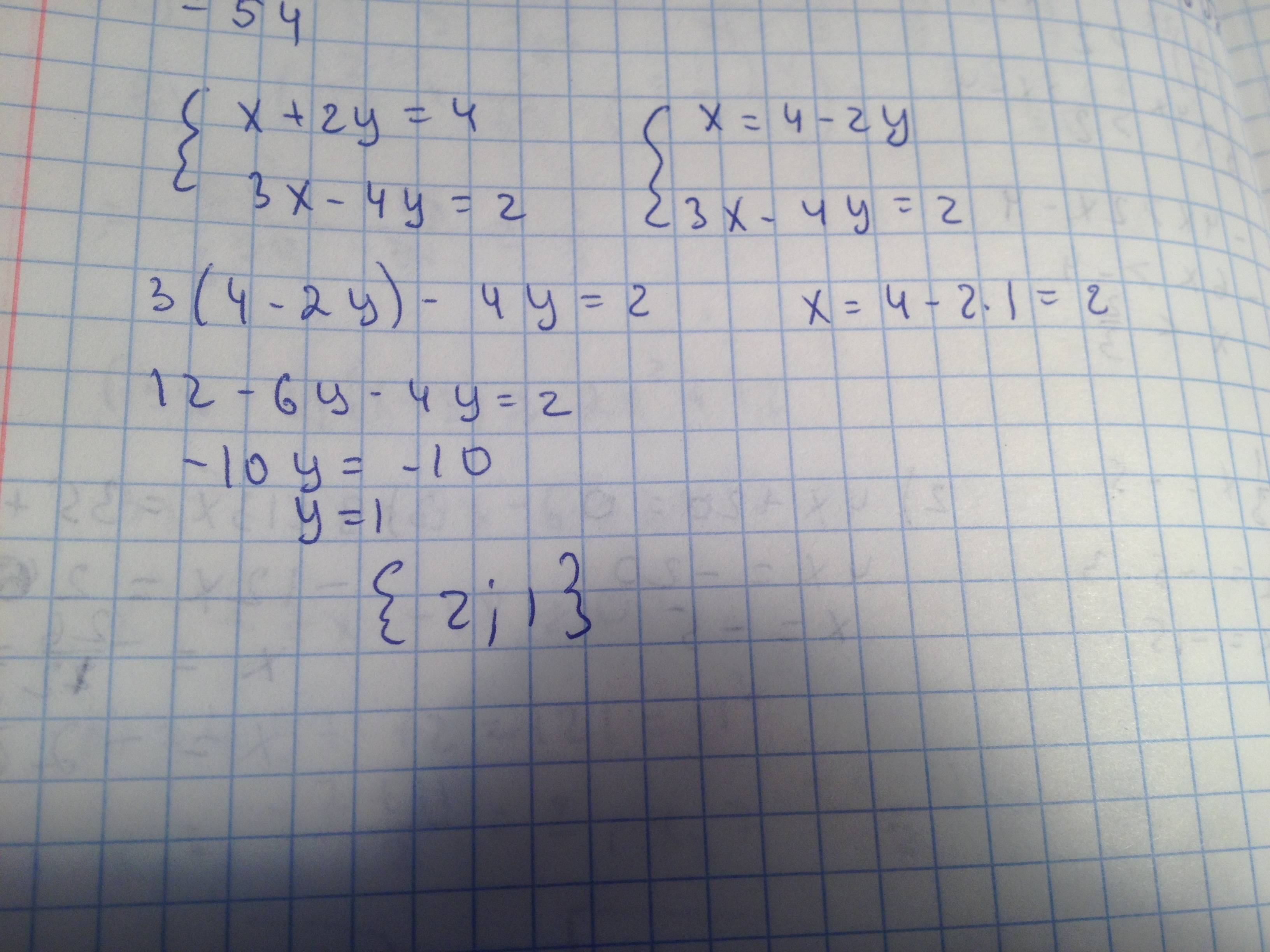
x=4-2y
3(4-2y)-4y=2
12-6y-4y=2
10y=10
y=1
x=4-2=2
Ответ: (2;1)
3(4-2y)-4y=2
12-6y-4y=2
10y=10
y=1
x=4-2=2
Ответ: (2;1)
Ответ дал:
0
Решение смотрите ниже
Приложения:
Вас заинтересует
2 года назад
2 года назад
7 лет назад
9 лет назад
9 лет назад
10 лет назад
10 лет назад