Ответы
Ответ дал:
0
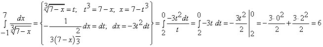
Решение дано в виде фотографии ))
Приложения:

Ответ дал:
0
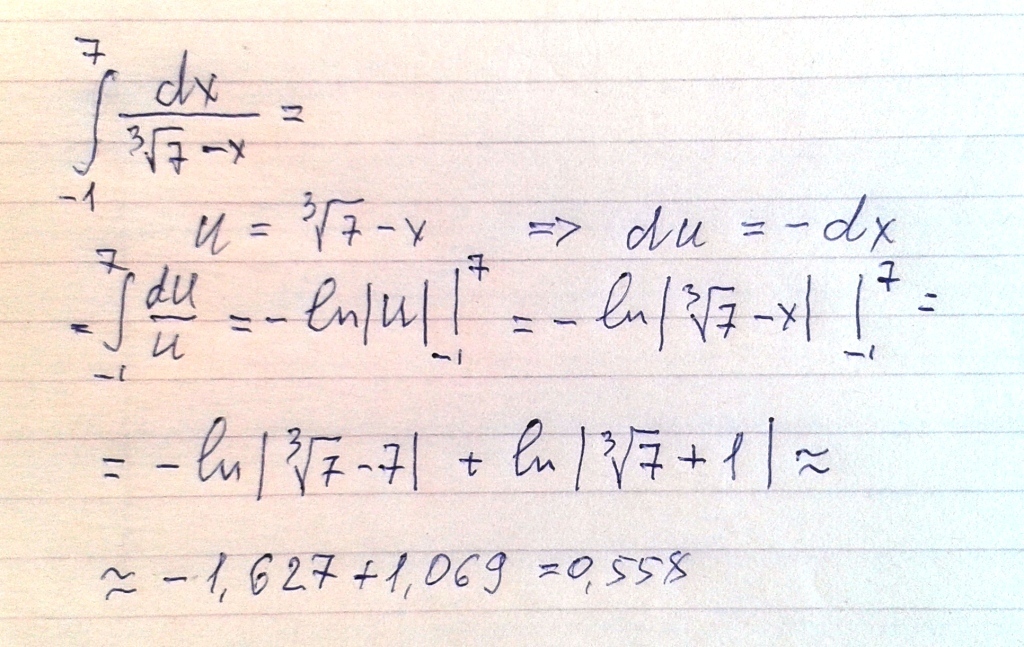
возможное решение смотри на фото
Приложения:

Вас заинтересует
6 лет назад
9 лет назад
9 лет назад
10 лет назад