• Предмет: Алгебра
  • Автор: bradkent
  • Вопрос задан 9 лет назад

Не могу найти площадь у фигуры параболы

Приложения:

Ответы

Ответ дал: ShirokovP
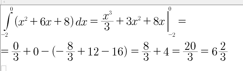
0
см скриншот
========================
Приложения:
Вас заинтересует