• Предмет: Физика
  • Автор: кирик213
  • Вопрос задан 9 лет назад

Помогите пожалуйста с тестом

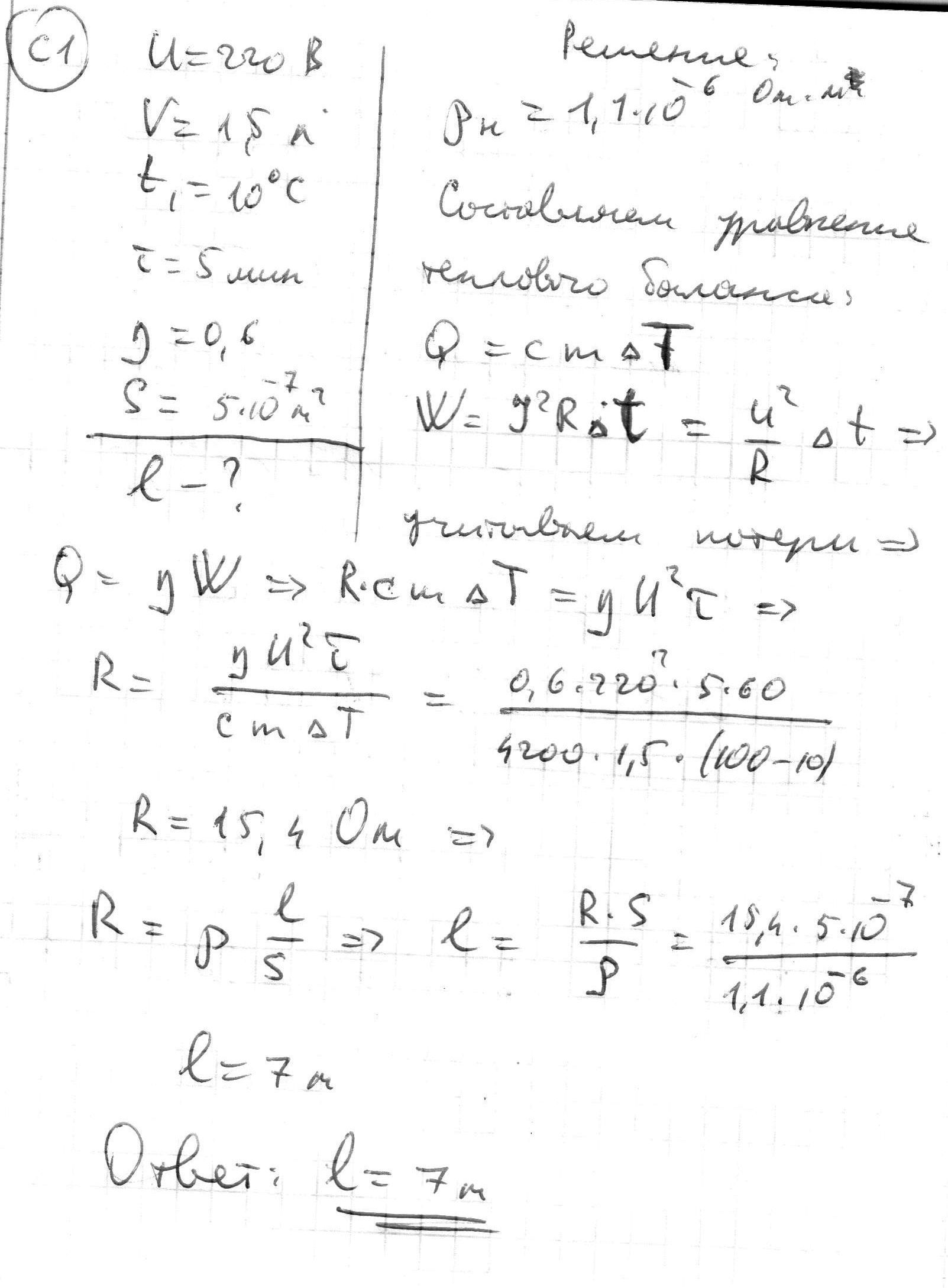
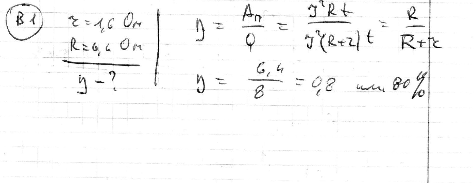
Приложения:

Ответы

Ответ дал: valshev
0
1) - 4
2) - 3
3) - 4
4) - 2
5) - 80%

Приложения:
Вас заинтересует