Ответы
Ответ дал:
0
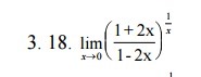
Используем свойство 2-го замечательного предела
limx-0(1+a/x)^bx=e^ab
limx-0(-1+2/(2x-1))^(2x-1)2/x)/(2(2x-1))=e^(2/x)/(2x-1)=e^4
limx-0(1+a/x)^bx=e^ab
limx-0(-1+2/(2x-1))^(2x-1)2/x)/(2(2x-1))=e^(2/x)/(2x-1)=e^4
Вас заинтересует
2 года назад
2 года назад
7 лет назад
7 лет назад
9 лет назад
9 лет назад
10 лет назад