• Предмет: Математика
  • Автор: Dad88
  • Вопрос задан 9 лет назад

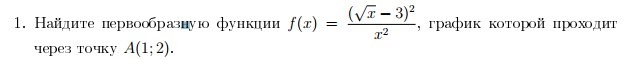
Добрый вечер! Помогите пожалуйста с заданием:

Приложения:

Ответа на этот вопрос пока нет. Попробуйте найти его через форму поиска.

Вас заинтересует