• Предмет: Математика
  • Автор: bespalovad00
  • Вопрос задан 9 лет назад

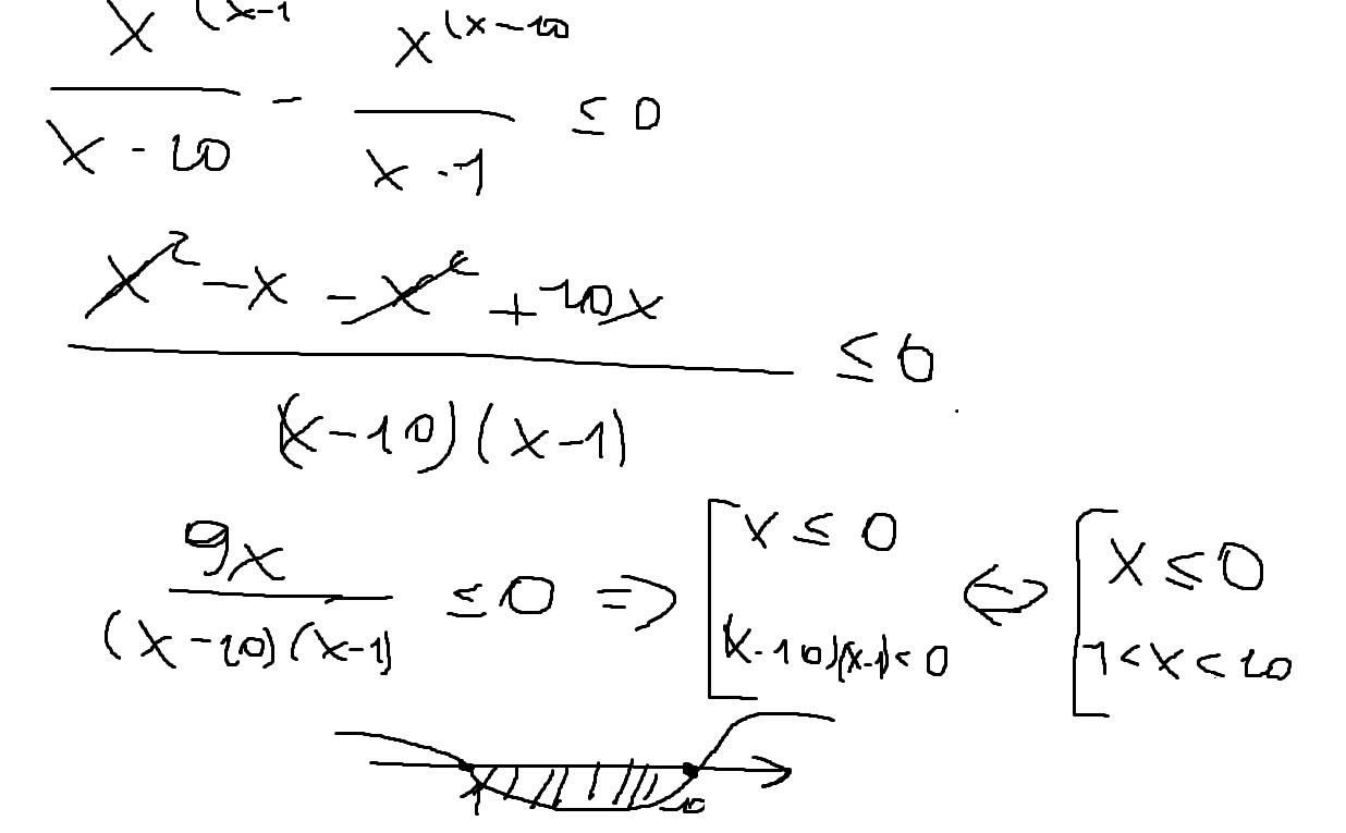
СРОЧНО. Прошу помогите решить дробно-рациональное неравенство (желательно подробно). Буду очень вам благодарна
x / x-10 <= x / x-1

Ответы

Ответ дал: Delexy
0
Не факт конечно, поскольку не помню. Но мало ли
Приложения:
Ответ дал: bespalovad00
0
Спасибо большое, да всё верно!)
Вас заинтересует