• Предмет: Алгебра
  • Автор: vercut
  • Вопрос задан 9 лет назад

Помогите пожалуйста!!!!!
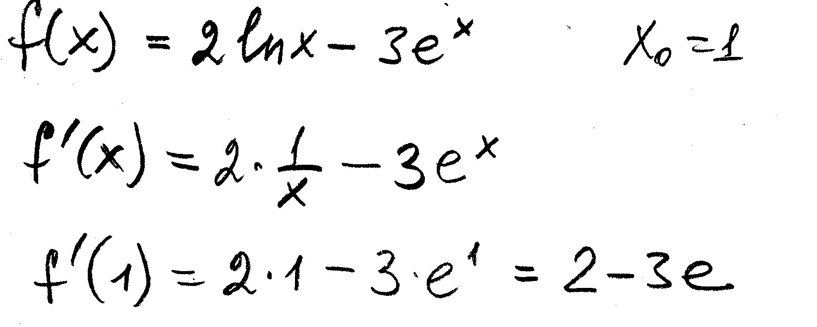
Найдите значение производной функции y=f(x) в точке xx0
f(x)=2lnx-3e^x, x0=1

Ответы

Ответ дал: samodina
0
решение во вложенном файле
Приложения:
Вас заинтересует