Нужно решить задачу системой. Плизз, очень срочно.
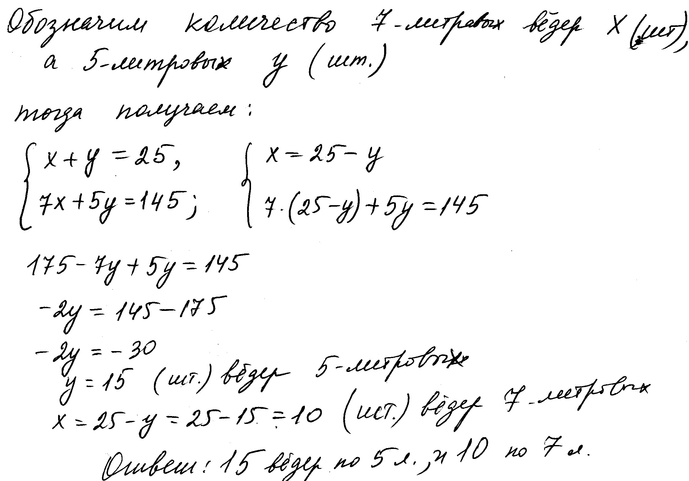
Тудор наполнил водой бочку объёмом 145 литров. Сначала он нёс воду ведром в 7 литров, потом ведром объёмом 5 литров. Всего он понёс 25 вёдер. Определите сколько вёдер каждого вида понёс Тудор
Ответы
Ответ дал:
0
решение во вложенном файле
Приложения:
Вас заинтересует
2 года назад
7 лет назад
7 лет назад
10 лет назад
10 лет назад
10 лет назад
10 лет назад