Ответы
Ответ дал:
0
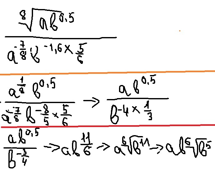
Ответ внизу на картинке + решение
Надеюсь помог
Надеюсь помог
Приложения:

Вас заинтересует
2 года назад
9 лет назад
9 лет назад
10 лет назад