• Предмет: Физика
  • Автор: DrDre31
  • Вопрос задан 9 лет назад

Даю все баллы. А18, предоставтьте полное решение с объяснениями.

Приложения:

Ответы

Ответ дал: aleksobuhov350
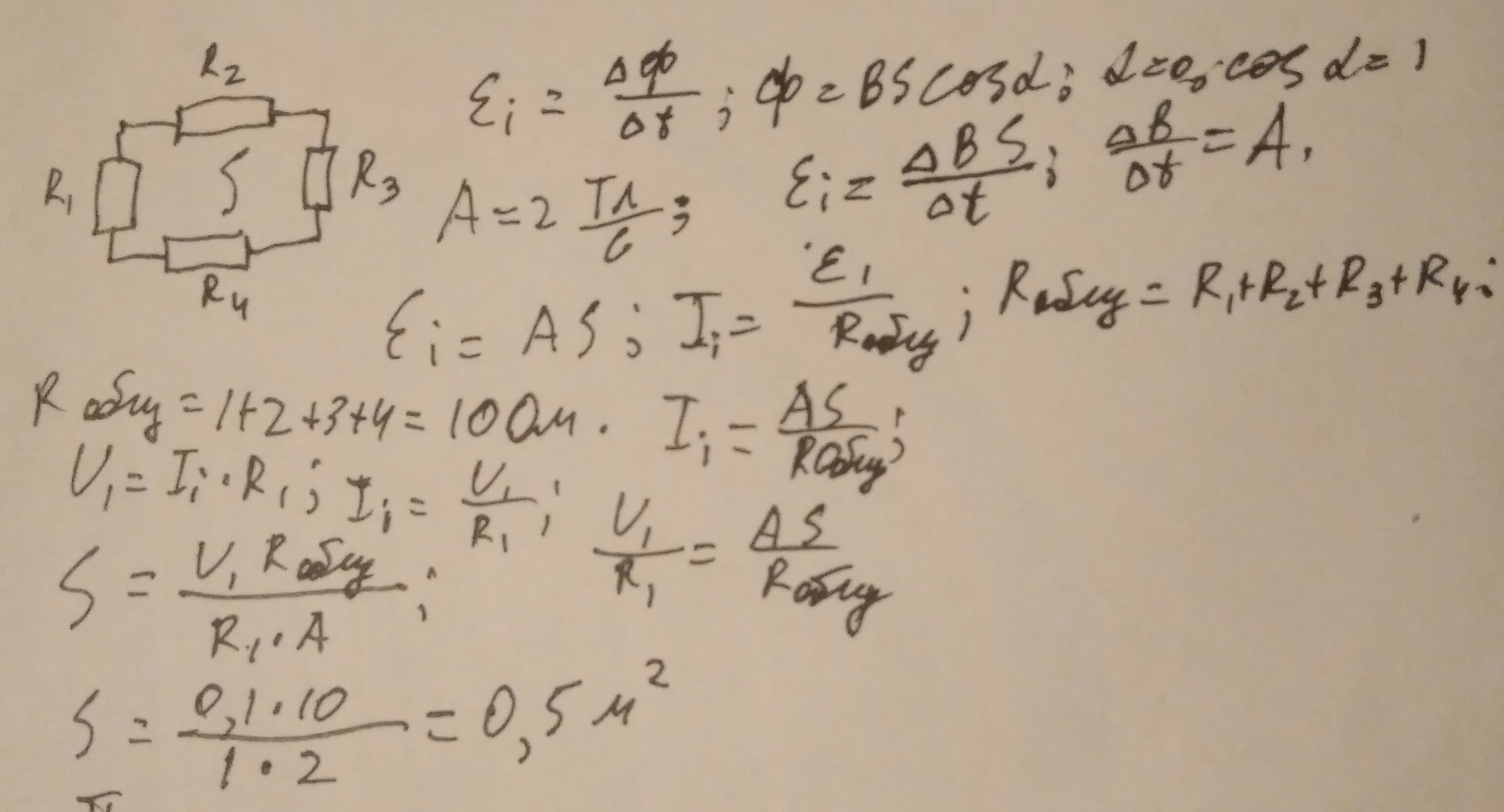
0
Очевидно, что A- dB/dT. При изменении магнитного потока в контуре возникает противо-ЭДС. Ei=dФ/dT; dФ=BScos(a); cos(a) в данном случае равняется 1, т.к. плоскость рамки перпендикулярна вектору магнитной индукции. Ei=AS;
По закону Ома находим нужный ток и рассчитываем площадь.
Приложения:
Вас заинтересует