20б.
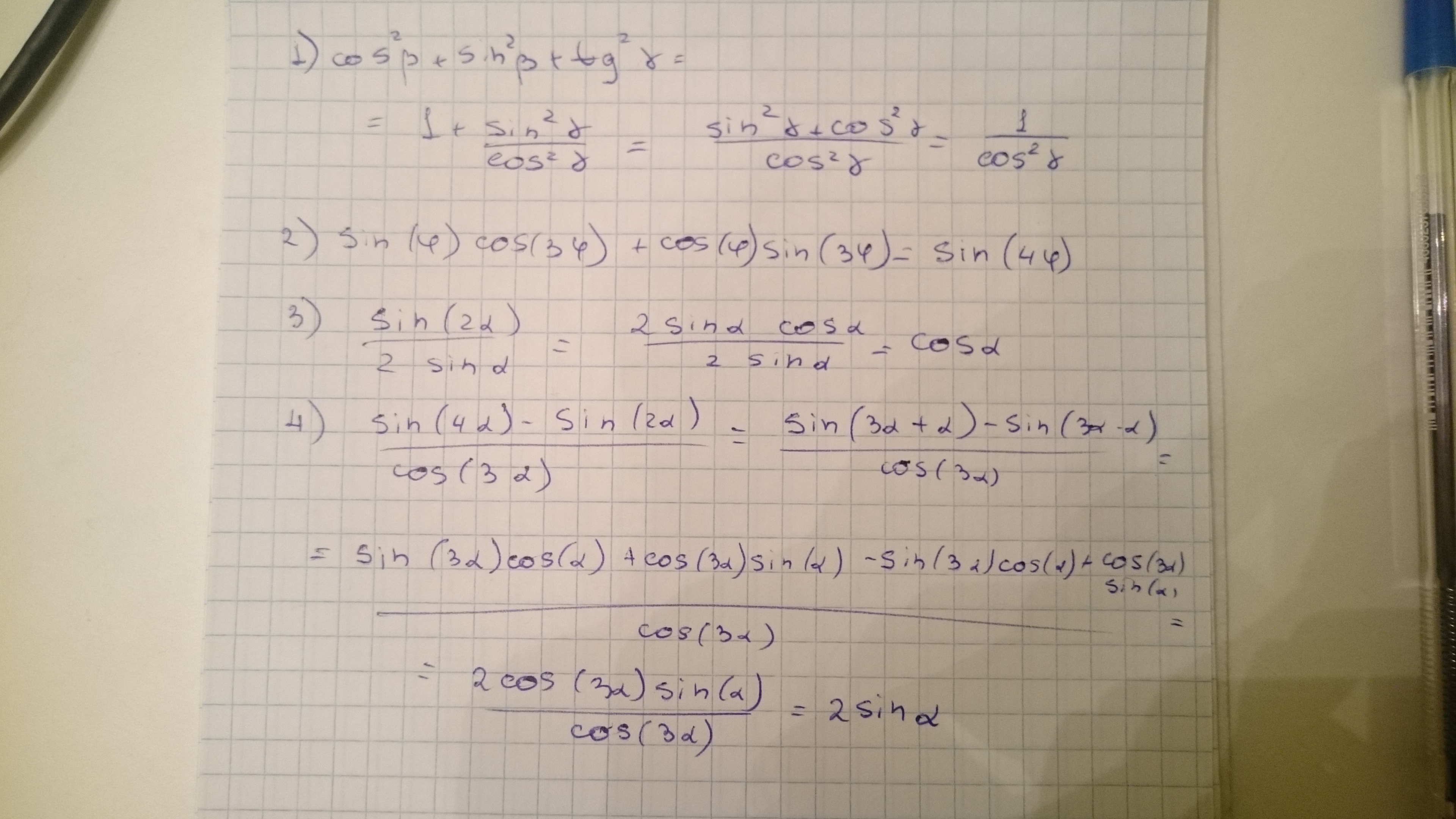
Спростіть вираз 1)cos²бета+sin²бета+tg²гама
2)sin фи cos 3 фи + cos фи sin 3 фи
3)sin 2 альфа
-----------------------
2 sin альфа
4) sin4альфа-sin2альфа
-----------------------------------
cos3альфа
Ответы
Ответ дал:
0
Решение в приложенном фото
Приложения:

Ответ дал:
0
Спасибо)))
Вас заинтересует
2 года назад
2 года назад
7 лет назад
9 лет назад
10 лет назад