• Предмет: Алгебра
  • Автор: YeeBanana
  • Вопрос задан 9 лет назад

СРОЧНО ПОМОГИТЕ!!1! Даю 25 баллов!

Приложения:

Ответы

Ответ дал: ShirokovP
0
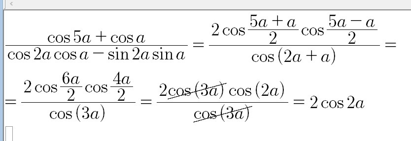
см фото
=======================
Приложения:
Ответ дал: YeeBanana
0
Правильно?
Ответ дал: ShirokovP
0
да
Ответ дал: YeeBanana
0
спасибо
Вас заинтересует