• Предмет: Математика
  • Автор: Vads1
  • Вопрос задан 9 лет назад

Помогите нужно Срочно 25 баллов

Приложения:

Ответы

Ответ дал: NNNLLL54
0
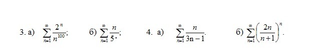
1); ; sumlimits _{n=1}^{infty } ,  frac{2^{n}}{n^{100}} \\D'Alamber:; ;  limlimits _{n to infty}  frac{a_{n+1}}{a_{n}} = limlimits_{n to infty}  frac{2^{n+1}}{(n+1)^{100}}cdot frac{n^{100}}{2^{n}}=2 textgreater  1; ,; rasxoditsya

2); ; sum limits _{n=1}^{infty },  frac{n}{5^{n}} \\D'Alamber:; ;  limlimits _{n to infty} frac{a_{n+1}}{a_n }= limlimits _{n to infty}  frac{n+1}{5^{n+1}}cdot  frac{5^{n}}{n} =frac{1}{5} textless  1; ,; sxoditsya

3); ; sum limits_{n=1}^{infty } ,  frac{n}{3n-1} \\Neobxodimuj; priznak:; ;  limlimits _{n to infty} a_n = limlimits _{n to infty}  frac{n}{3n-1} = frac{1}{3}ne 0; ,; rasxoditsya

4); ; sum limits _{n=1}^{+infty } , Big (frac{2n}{n+1}Big )^{n} \\Neobx.; prizn.; :; ;  limlimits _{n to +infty} a_n = limlimits _{n to +infty} Big (frac{2n}{n+1} Big )^{n}=Big (2Big )^{+infty }=+infty ne 0; ,\\rasxoditsya
Ответ дал: Vads1
0
от души
Ответ дал: NNNLLL54
0
В №4 можно ещё и пр. Коши ( с корнем) применить.
Вас заинтересует