Составьте структурные формулы соединений: А) 3,5-диметилгексен-2; б) 3,3,4,4-тетраметил-1-этилпентан ; в)6-метил-2-этилгептин-3
Ответы
Ответ дал:
0
С первым соединением, вроде бы, вопросов нету (рис. 1)
А вот с двумя другими, если брать чисто по названию и строить формулу, чуток проблемы, а именно, соединений с такими названиями не существует. Поэтому, построим формулы из ваших названий, но назовем их правильно
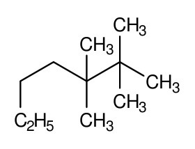
Второе будет называться - 2,2,3,3-тетраметилгептан (рис. 2)
Ну, а третье - 2,6-диметилоктин-4 (рис. 3)
А вот с двумя другими, если брать чисто по названию и строить формулу, чуток проблемы, а именно, соединений с такими названиями не существует. Поэтому, построим формулы из ваших названий, но назовем их правильно
Второе будет называться - 2,2,3,3-тетраметилгептан (рис. 2)
Ну, а третье - 2,6-диметилоктин-4 (рис. 3)
Приложения:



Вас заинтересует
2 года назад
2 года назад
7 лет назад
7 лет назад
9 лет назад
9 лет назад
10 лет назад