• Предмет: Математика
  • Автор: bvasek
  • Вопрос задан 9 лет назад

Помогите сделать два задания по математике. Заранее спасибо.

Приложения:

Ответы

Ответ дал: NNNLLL54
0
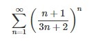
1); ; sum limits _{n=1}^{infty },  frac{5^{n}}{n!} \\D'Alamber:; ;  limlimits _{n to infty} frac{a_{n+1}}{a{n}}= limlimits _{n to infty}  frac{5^{n+1}}{(n+1)!} : frac{5^{n}}{n!} = limlimits _{n to infty}  frac{5^{n}cdot 5cdot n!}{n!, cdot (n+1)cdot 5^{n}} =\\= limlimits _{n to infty}  frac{5}{n+1} =0 textless  1; ,; ; sxoditsya\\2); ; sum limits _{n=1}^{infty }, Big ( frac{n+1}{3n+2} Big )^{n}\\Neobxodimuj; priznak:

 limlimits _{n to +infty} a_n  =limlimits _{n to +infty} Big ( frac{n+1}{3n+2} Big )^{n} =Big ( frac{1}{3} Big )^{+infty }=+0; ; to ; ; net; otveta

Priznak; Koshi:\\limlimits _{n to infty} sqrt[n]{a_n} = limlimits _{n to infty} sqrt[n]{Big (frac{n+1}{3n+2}Big )^{n}}= limlimits _{n to infty} frac{n+1}{3n+2}=frac{1}{3} textless  1; ,; sxoditsya
Ответ дал: danila3280
0
Cупер спасибо!)
Вас заинтересует