• Предмет: Алгебра
  • Автор: justinl3ieber
  • Вопрос задан 9 лет назад

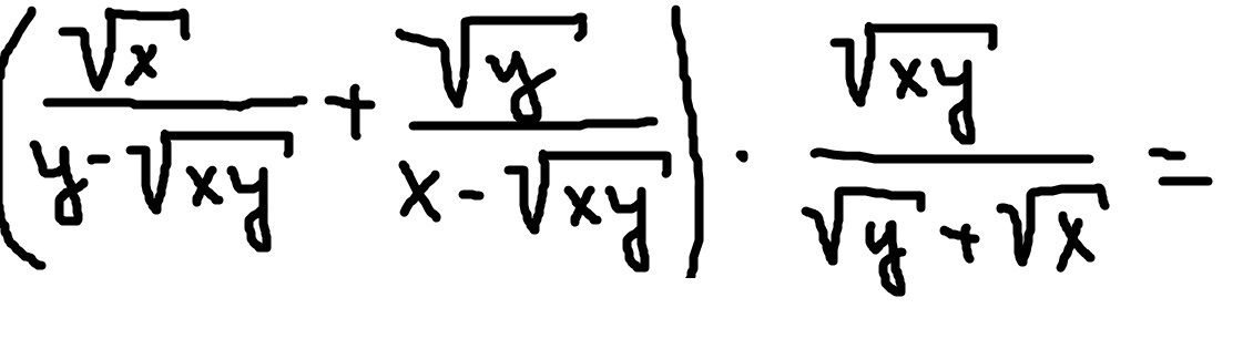
Решите пожалуйста и НОРМАЛЬНО распишите. Это для экзамена Пожалуйста ! Дам 10 баллов!

Приложения:

Ответа на этот вопрос пока нет. Попробуйте найти его через форму поиска.

Вас заинтересует