• Предмет: Математика
  • Автор: lenfentdusoleil02
  • Вопрос задан 9 лет назад

Пожалуйста помогите И не могли бы вы пожалуйста все подробно расписать?

Приложения:

Ответы

Ответ дал: valenivan
0
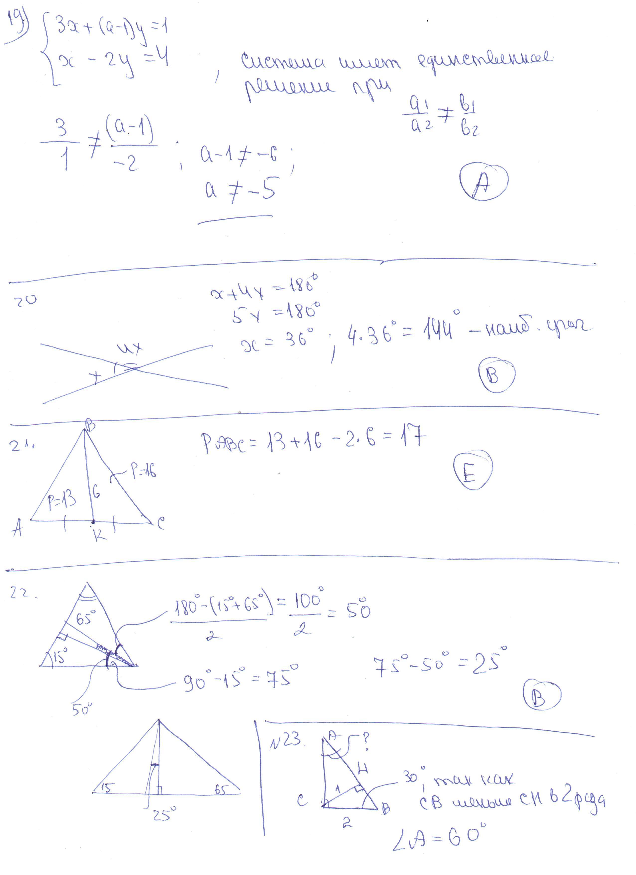
Решение на 2 листах. !8 уже вам написали
Приложения:
Вас заинтересует