• Предмет: Алгебра
  • Автор: megafoma1
  • Вопрос задан 9 лет назад

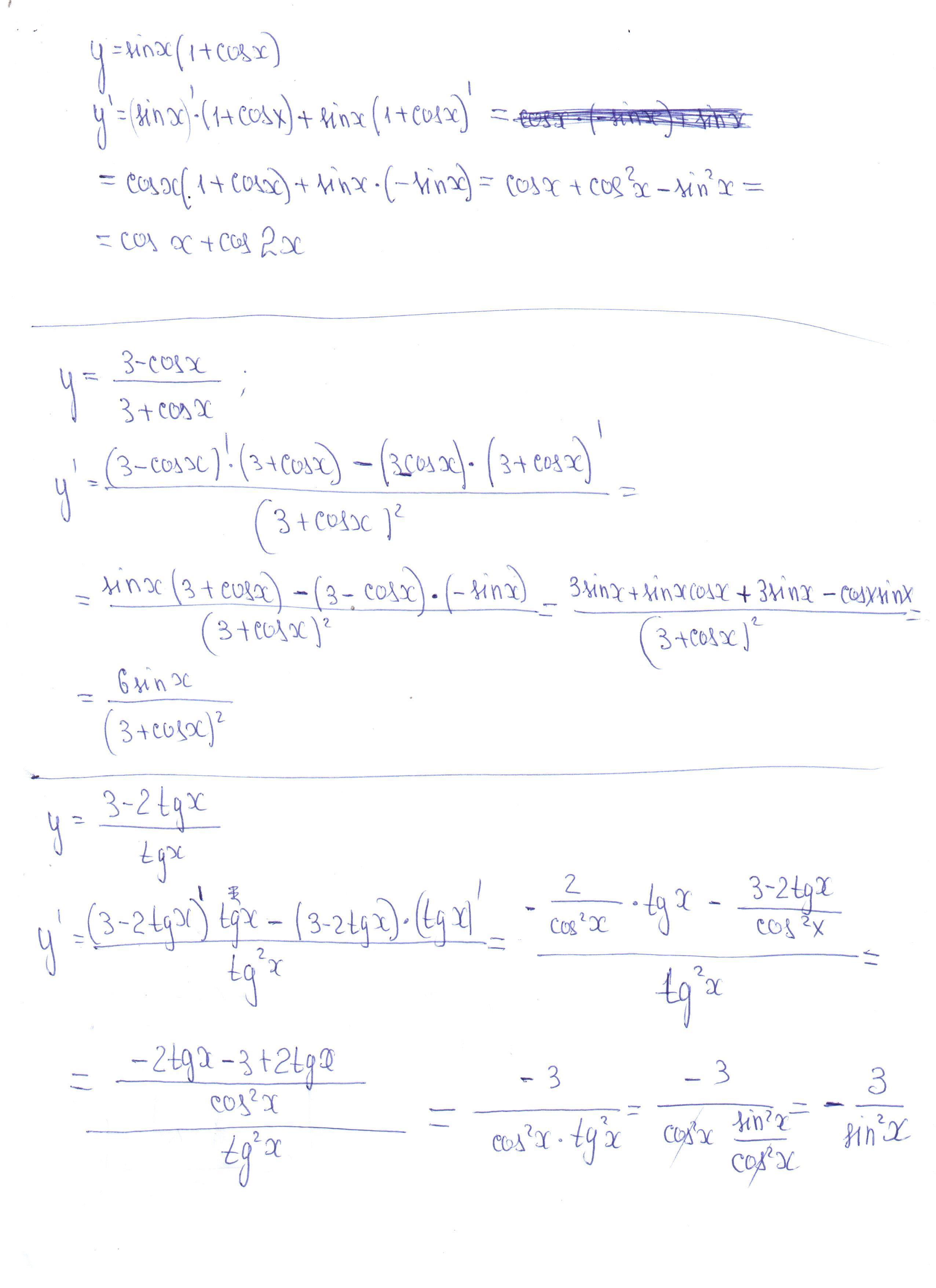
Найдите производные следующих функций,подробно,даю 60 баллов

Приложения:

Ответы

Ответ дал: valenivan
0
Производные функций , решение
Приложения:
Вас заинтересует