Ответы
Ответ дал:
0
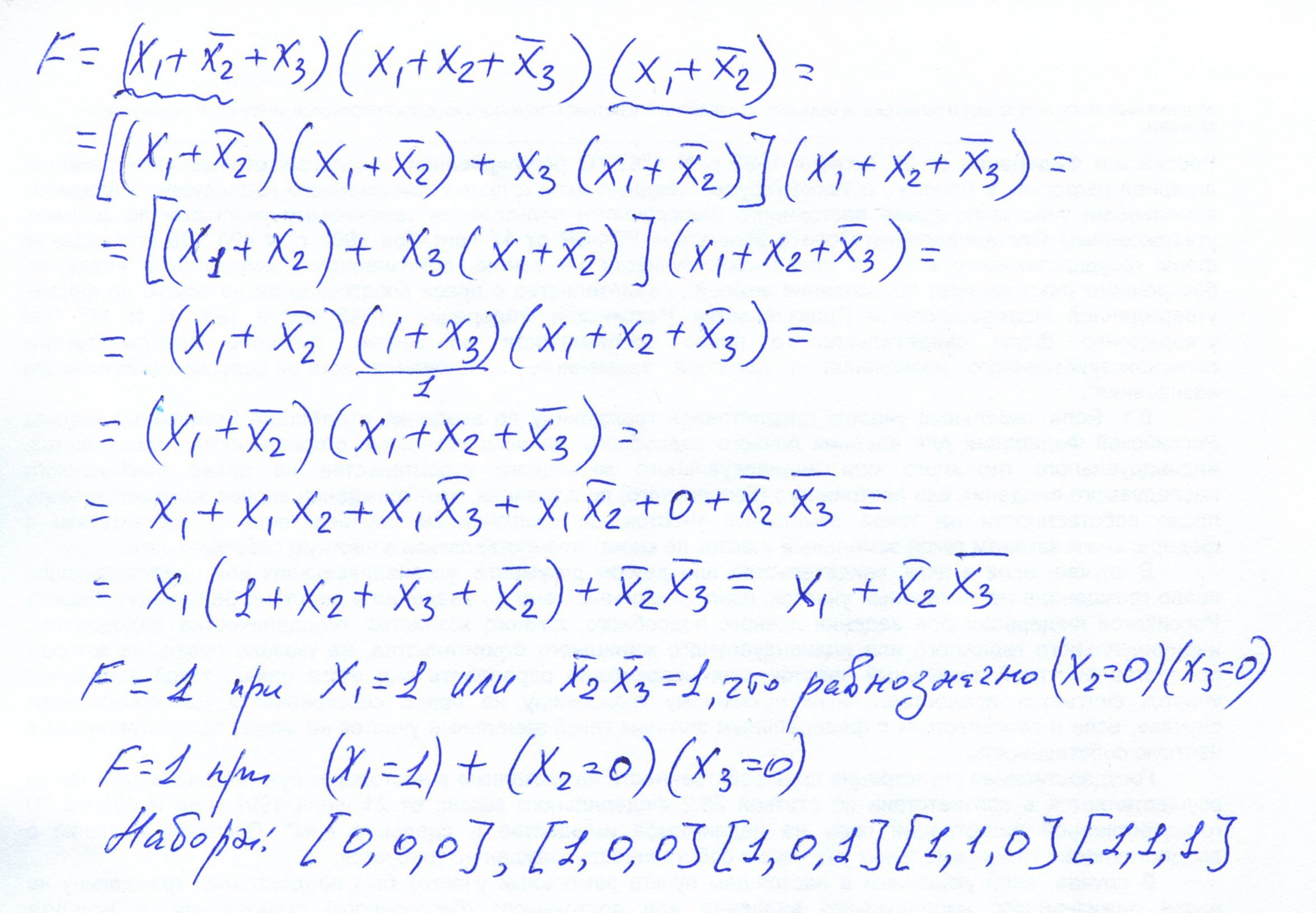
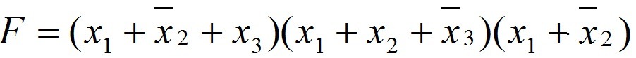
Решение дано во вложении
Приложения:

Вас заинтересует
2 года назад
7 лет назад
10 лет назад