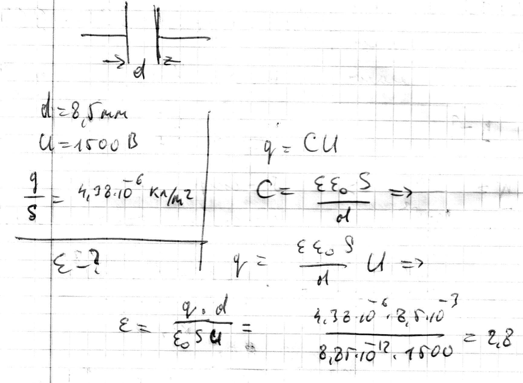
Расстояние между обкладками плоского конденсатора 8,5 мм,к конденсатору приложено напряжение 1,5 кВ ,плотность заряда на обкладках 4,38 микрокулон на квадратный метр. Найти диэлектрическую проницаемость среды между обкладками конденсатора
Ответы
Ответ дал:
0
Держите ответ в файле с вас статус!
Приложения:
Вас заинтересует
3 года назад
3 года назад
7 лет назад
7 лет назад
10 лет назад
10 лет назад
10 лет назад
10 лет назад