• Предмет: Математика
  • Автор: pimkaaria
  • Вопрос задан 9 лет назад

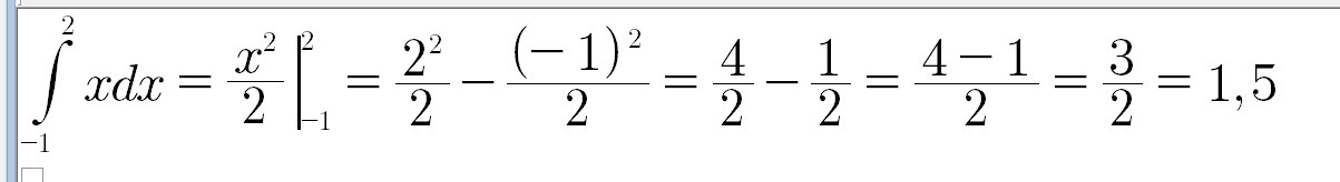
Вычислить интеграл :

Приложения:

Ответы

Ответ дал: ShirokovP
0
см фото
===========================
Приложения:
Вас заинтересует