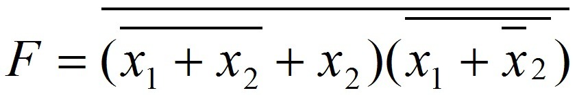
Путем тождественных преобразований получить минимальную форму записи логической функции
Приложения:

Ответы
Ответ дал:
0
F=x2 → x1
можно по таблице истинности проверить
можно по таблице истинности проверить
Приложения:

Вас заинтересует
2 года назад
2 года назад
7 лет назад
7 лет назад
9 лет назад
10 лет назад