• Предмет: Алгебра
  • Автор: nastjanazarova
  • Вопрос задан 9 лет назад

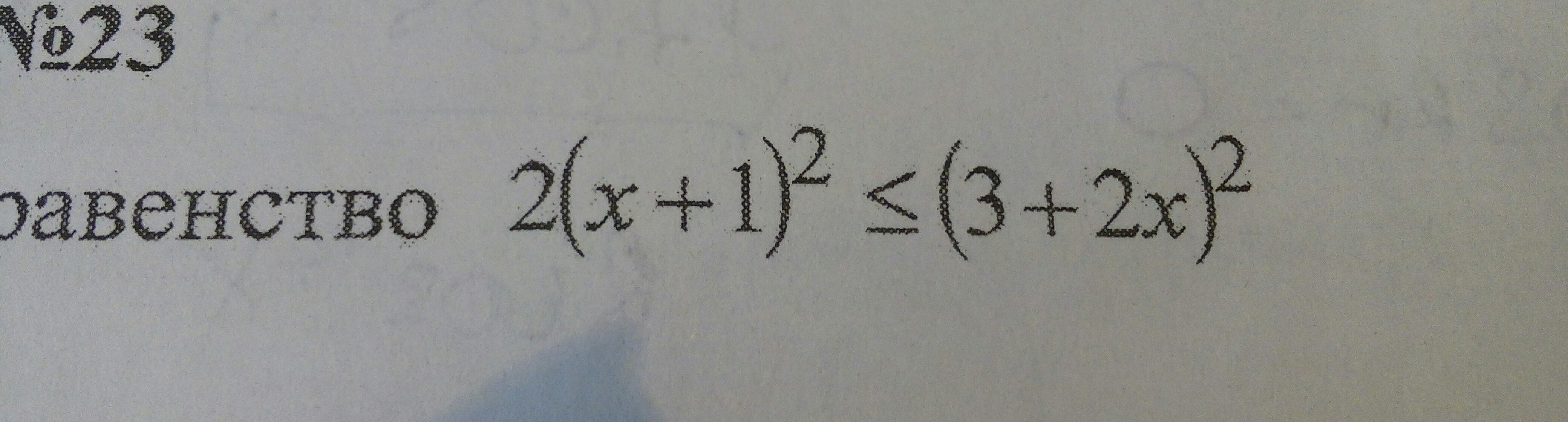
Помогите решить, пожалуйста. Когда нули нахожу, дискриминант равен 8, из-за этого ответ слишком громоздкий.

Приложения:

Ответы

Ответ дал: skvrttt
0
2(x+1)^2leq(3+2x)^2\2x^2+8x+7geq0\D=8^2-4*2*7=8=(2sqrt{2})^2\x_1=frac{-8-2sqrt{2}}{4}=-2-frac{sqrt{2}}{2}\x_2=frac{-8+2sqrt{2}}{4}=-2+frac{sqrt{2}}{2}

ОТВЕТ: x∈(–∞; -frac{sqrt{2}+4}{2}]∪[frac{sqrt{2}-4}{2}; +∞)
Вас заинтересует