Ответы
Ответ дал:
0
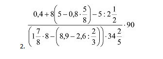
1)0,8 * 5/8= 4/8=1/2=0,5
2)5-0,5=4,5
3)8*4,5=36
4)5: 2 1/2 = 5:2,5=2
5)0,4+36=36,4
6)36,4-2=34,4
7)2,6:2/3=13/5 * 3/2 = 39/10=3,9
8)8,9-3,9=5
9)1 7/8 * 8=15/8 * 8= 15
10)15-5=10
11)34 2/5 *10 = 34,4*10=344
12)34,4:344=0,1
13)0,1*90=9
ответ: 9
2)5-0,5=4,5
3)8*4,5=36
4)5: 2 1/2 = 5:2,5=2
5)0,4+36=36,4
6)36,4-2=34,4
7)2,6:2/3=13/5 * 3/2 = 39/10=3,9
8)8,9-3,9=5
9)1 7/8 * 8=15/8 * 8= 15
10)15-5=10
11)34 2/5 *10 = 34,4*10=344
12)34,4:344=0,1
13)0,1*90=9
ответ: 9
Вас заинтересует
2 года назад
2 года назад
7 лет назад
7 лет назад
10 лет назад
10 лет назад
10 лет назад