• Предмет: Алгебра
  • Автор: steik20155
  • Вопрос задан 9 лет назад

решите пж
шршршшршииштишиштштщ

Приложения:

Ответы

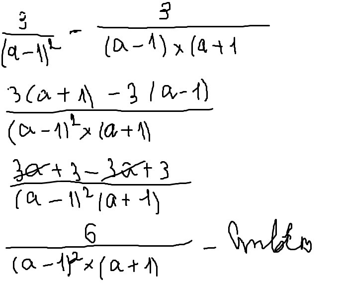
Ответ дал: зубрильчик
0
Ответ + решение внизу 
Приложения:
Вас заинтересует