• Предмет: Физика
  • Автор: Гном1917
  • Вопрос задан 9 лет назад

Помогите, пожалуйста, с физикой!!!) C решением, пожалуйста.

Приложения:

Ответы

Ответ дал: DeSex
0
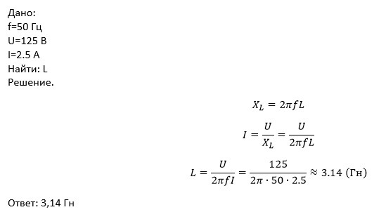
Решение на приложенных сканах.
Приложения:
Вас заинтересует