• Предмет: Математика
  • Автор: ДжекиБой
  • Вопрос задан 9 лет назад

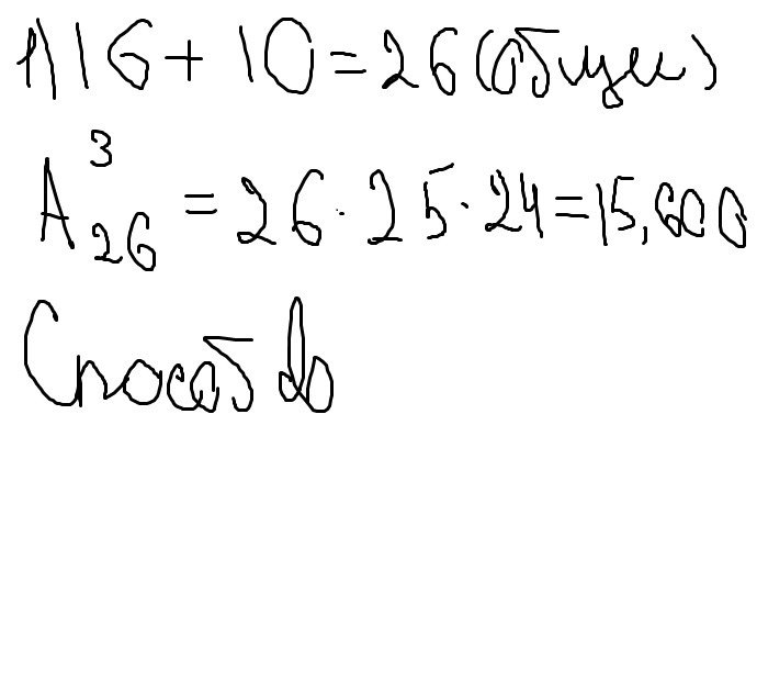
В группе 16 девочек и 10 мальчиков, нужно выбрать 3 студентов. Сколько существует возможных вариантов?

Ответы

Ответ дал: зубрильчик
0
Ответ на картинке + решение 
Приложения:
Вас заинтересует