• Предмет: Математика
  • Автор: anililia
  • Вопрос задан 9 лет назад

Помогите решать!!!!!!!!!!

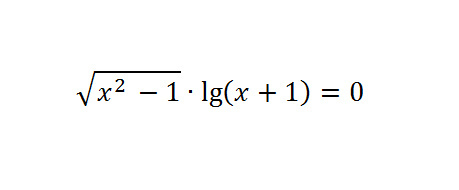
Приложения:

Ответа на этот вопрос пока нет. Попробуйте найти его через форму поиска.

Вас заинтересует