Ответы
Ответ дал:
0
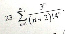
Воспользуемся интегральным признаком сходимости:
∫3^x/4^xδx>∫3^x/(x+2)!4^xδx ⇒если сходится первый ряд, то сходится и второй! ⇒∫(3/4)^xδx=3/(4*Ln(3/4))<1 ⇒ряд сходится, значит сходится и исходный ряд!
∫3^x/4^xδx>∫3^x/(x+2)!4^xδx ⇒если сходится первый ряд, то сходится и второй! ⇒∫(3/4)^xδx=3/(4*Ln(3/4))<1 ⇒ряд сходится, значит сходится и исходный ряд!
Вас заинтересует
2 года назад
2 года назад
7 лет назад
10 лет назад
10 лет назад
10 лет назад