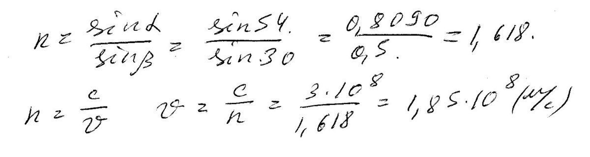
Определить абсолютный показатель преломления и скорость распространения света в слюде,если при угле падения светового пучка 54° угол преломления равен 30°
Ответы
Ответ дал:
0
думаю будет так
апрвсолсрвоылсвирыолясравичьлядрсывлчяпаимсв чя
апрвсолсрвоылсвирыолясравичьлядрсывлчяпаимсв чя
Приложения:
Вас заинтересует
3 года назад
7 лет назад
7 лет назад
10 лет назад